X Спасибо, Ваш голос за продвижение этого комента
в самостоятельный пост в блогах принят.
Модераторы рассмотрят вашу заявку.

Перейти к содержимому


Фотография

Зачем нужна ангуляция?


  • Авторизуйтесь для ответа в теме
Сообщений в теме: 543

#61 rarebird

rarebird
    • 11
    • 7
  • Лыжебордеры
  • 1787 сообщений

Отправлено 11 April 2020 - 12:28

Равновесный радиус поворота на внутренней ноге отличается от  радиуса равновесного поворота на внешней. Вот и меняй радиус в пределах изменения давления между лыжами

Это не вариант, так как в видео я его рассмотрел. Можешь еще раз послушать, чем все это писать. В кратце это можно выполнить исключительно перенося давление с внутренней на внешнюю. Опять же исходим из оптимального распределения по лыжам. При этом опорная точка располагается в определенном месте, которое связано с наработанными рефлексами на тренировках. Изменить это положение - это умышленно загнать себя в дискомфортную ситуацию.


  • 0

#62 rarebird

rarebird
    • 11
    • 7
  • Лыжебордеры
  • 1787 сообщений

Отправлено 11 April 2020 - 12:33

Что такое максимальная скорость? Перепад высот позволяет развить скорость под 100км/ч. Однако едут почти с постоянной скоростью под 40км/ч  Постоянство поддерживается проскальзыванием

Максимальная скорость - это скорость, которую способен обрести лыжник в соответствии со своим мастерством, например, в отдельном повороте. Задача: какие его движения помешают достичь скорость, а какие помогут. Если лыжник начнет увеличивать наклон тела без ангуляции, то это приведет к потере скорости. Если будет выполнять ангуляцию, то это позволит достичь максимальную скорость или, по крайней мере, позволит ее сохранить. То есть сохранить скорость, которая была в начале поворота. Понятно, что прии проскальзывании скорость будет уменьшаться. Но речь идет о возможности уменьшения отрицательного ускорения.


  • 0

#63 ALEX3M

ALEX3M
    • 2
    • 1
  • Лыжебордеры.
  • 18279 сообщений
  • Город:Северодвинск

Отправлено 11 April 2020 - 12:37

Я что-то не понял. Я же написал, что положение лыжника по векторам тяжести и инерции и опоры выстраивает вестибулярный аппарат. как только лыжник начинает выполнять ангуляцию, то сразу начинает увеличиваться наклон. Причем первично как раз ангуляция, так как лыжа, имея определенную длину и не точечную опору, не сразу начинает двигаться по меньшему радиусу.

Как показывает опыт катания на одной лыже, увеличение ангуляции приводит к противоположному эффекту- уменьшению наклона цм.

А на двух лыжах, чтобы увеличить наклон с при увеличении ангуляции, приходится переносить точку опоры,  то есть нагрузку на внешнюю лыжу.


  • 0

#64 Гойко Митич

Гойко Митич
    • 1
  • Лыжебордеры
  • 68974 сообщений
  • Город:Москва

Отправлено 11 April 2020 - 12:40

Так преддложите свой вариант, который эффективнее ангуляции.

Что значит эффективнее? Например в спортивном повороте угол закантовки в 70 градусов обеспечивается в основном наклоном и только 20-25 градусов  ангуляцией. При росте скорости вклад ангуляции  в угол закантовки уменьшается

Просто надо четко определять когда и зачем включать ангуляцию, а когда наклон. И наклон нужен и ангуляция.


  • 0

#65 МихаилS

МихаилS
    • 1
    • 1
  • Лыжебордеры
  • 4123 сообщений
  • Город:Москва

Отправлено 11 April 2020 - 12:43

Так преддложите свой вариант, который эффективнее ангуляции.

Вы меня не поняли, я не против ангуляции я за строгость :). Утверждение о единственности было излишне сильным


  • 0

#66 Гойко Митич

Гойко Митич
    • 1
  • Лыжебордеры
  • 68974 сообщений
  • Город:Москва

Отправлено 11 April 2020 - 12:51

Максимальная скорость - это скорость, которую способен обрести лыжник в соответствии со своим мастерством, например, в отдельном повороте. Задача: какие его движения помешают достичь скорость, а какие помогут. Если лыжник начнет увеличивать наклон тела без ангуляции, то это приведет к потере скорости. Если будет выполнять ангуляцию, то это позволит достичь максимальную скорость или, по крайней мере, позволит ее сохранить. То есть сохранить скорость, которая была в начале поворота. Понятно, что прии проскальзывании скорость будет уменьшаться. Но речь идет о возможности уменьшения отрицательного ускорения.

Даже Хиршер ехал слалом со скоростью 45км/ч. хотя перепад высот позволял развить скоростью 100 и более километров в час.Т.е он ее все время сбрасывал

Никто не спорит что надо применять ангуляцию. Но ангуляция это не единственный способ контроля траектории 

Оставив степень ангуляции постоянной можно уменьшать радиус поворота  только за счет изменения наклона. Это изменение обусловлено динамикой движения лыжника, а не изменением ангуляции. Увеличение ангуляции приводит к выходу из поворота, т.е  к увеличению радиуса поворота, о чем лимонов выше и написал

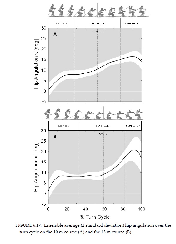
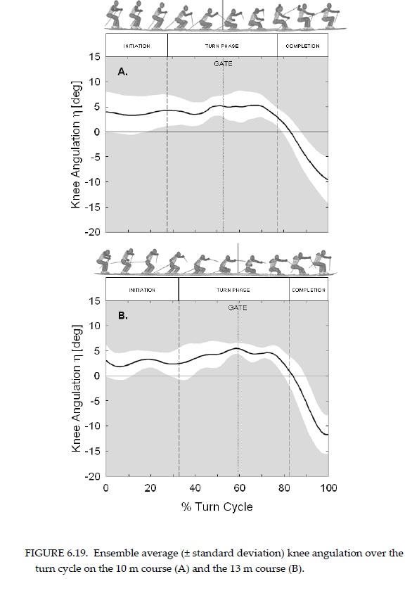
Из  схем видно, что в процессе загрузки степень ангуляции меняется мало, а радиус поворота падает бесконечности до 5м. Увеличение степени тазобедренной ангуляции приводит к увеличению радиуса поворота и выходу из поворота

 

5e9192ae4bca1_.jpg5e9192c57ff42_.jpg


Сообщение отредактировал Гойко Митич: 11 April 2020 - 12:53

  • 0

#67 rarebird

rarebird
    • 11
    • 7
  • Лыжебордеры
  • 1787 сообщений

Отправлено 11 April 2020 - 13:20

Как показывает опыт катания на одной лыже, увеличение ангуляции приводит к противоположному эффекту- уменьшению наклона цм.

 

Наука свидетельствует об обратном. Такие проблемы возникают из-за неумения вести свое тело по траектории с сохранением положения динамического равновесия. Правда это самое сложное в лыжах и этому спортсмены уделяют огромное внимание, выполняя всевозможные упражнения на сохранение равновесия.


  • 0

#68 rarebird

rarebird
    • 11
    • 7
  • Лыжебордеры
  • 1787 сообщений

Отправлено 11 April 2020 - 13:24

Что значит эффективнее? Например в спортивном повороте угол закантовки в 70 градусов обеспечивается в основном наклоном и только 20-25 градусов  ангуляцией. При росте скорости вклад ангуляции  в угол закантовки уменьшается

Просто надо четко определять когда и зачем включать ангуляцию, а когда наклон. И наклон нужен и ангуляция.

Я уже ответил на этот вопрос. Критичными углами закантовок спортсмены практически не пользуются. Такие максимальные углы закантовок без ангуляции возникают, в исключительных случаях и, как правило, при возникновении ошибки. Любые повороты на современных трассах возможны с ангуляцией и без критических углов закантвок. Спортсмен избегает критических углов, увеличивая проскальзывание лыж и уменьшая этим свою скорость.


  • 0

#69 rarebird

rarebird
    • 11
    • 7
  • Лыжебордеры
  • 1787 сообщений

Отправлено 11 April 2020 - 13:37

Даже Хиршер ехал слалом со скоростью 45км/ч. хотя перепад высот позволял развить скоростью 100 и более километров в час.Т.е он ее все время сбрасывал

Никто не спорит что надо применять ангуляцию. Но ангуляция это не единственный способ контроля траектории 

Оставив степень ангуляции постоянной можно уменьшать радиус поворота  только за счет изменения наклона. Это изменение обусловлено динамикой движения лыжника, а не изменением ангуляции. Увеличение ангуляции приводит к выходу из поворота, т.е  к увеличению радиуса поворота, о чем лимонов выше и написал

Из  схем видно, что в процессе загрузки степень ангуляции меняется мало, а радиус поворота падает бесконечности до 5м. Увеличение степени тазобедренной ангуляции приводит к увеличению радиуса поворота и выходу из поворота

 

5e9192ae4bca1_.jpg5e9192c57ff42_.jpg

Я вообще не понимаю с кем ты споришь. С чего ты взял, что я считаю, что лыжник едет по трассе с максимальной скоростью, с которой можно двигаться по прямой с этого уклона?

Движение по кривой - это постоянное торможение. 

Сформулируй четче с чем ты не согласен в моих высказываниях?

Что касается рисунков.

В какой момент начинается разгрузка - это твоя вольная трактовка. 

Во-вторых, с чего ты взял, что я считаю, что тазобедренная ангуляция заканчивается при окончании загрузки? Я это не говорил, мало того я так не считаю! Не надо мне приписывать чжие мысли и высказывания. 

Повторяю, мне непонятно с кем ты споришь? Если со мной, то четче сформулируй с чем не согласен.


  • 0

#70 Гойко Митич

Гойко Митич
    • 1
  • Лыжебордеры
  • 68974 сообщений
  • Город:Москва

Отправлено 11 April 2020 - 13:41

Я уже ответил на этот вопрос. Критичными углами закантовок спортсмены практически не пользуются. Такие максимальные углы закантовок без ангуляции возникают, в исключительных случаях и, как правило, при возникновении ошибки. Любые повороты на современных трассах возможны с ангуляцией и без критических углов закантвок. Спортсмен избегает критических углов, увеличивая проскальзывание лыж и уменьшая этим свою скорость.

Не уменьшая скорость, а препятствуя е росту, т.е  сохраняя ее постоянной. Почувствуй разницу

Никто не говорит об отсутствии ангуляции.  В спортивном повороте даже на уровне перворазрядника  угол закантовки 70 градусов является обычным. И этот угол  обеспечивается  на две трети наклоном и на одну треть анугляцией. Как не изгибайся,большой угол закантовки не получишь

Вместо того чтобы признать  очевидное противоречие начинаешь упорствовать


  • 0

#71 demon75

demon75
  • Лыжебордеры
  • 36516 сообщений
  • Город:Екатеринбург

Отправлено 11 April 2020 - 13:41

Блин закидали опять тему формулами (
  • 0

#72 Гойко Митич

Гойко Митич
    • 1
  • Лыжебордеры
  • 68974 сообщений
  • Город:Москва

Отправлено 11 April 2020 - 13:44

 

Повторяю, мне непонятно с кем ты споришь? Если со мной, то четче сформулируй с чем не согласен.

Я давно сформулировал: ангуляция не является единственным способом управления траекторией, как  ты заявил

Наклон тела с целью увеличения угла закантовки столь же важен


  • 0

#73 Гойко Митич

Гойко Митич
    • 1
  • Лыжебордеры
  • 68974 сообщений
  • Город:Москва

Отправлено 11 April 2020 - 13:45

Что касается рисунков.

В какой момент начинается разгрузка - это твоя вольная трактовка. 

Не моя трактовка, а результат измерения давления


  • 0

#74 rarebird

rarebird
    • 11
    • 7
  • Лыжебордеры
  • 1787 сообщений

Отправлено 11 April 2020 - 13:55

Не уменьшая скорость, а препятствуя е росту, т.е  сохраняя ее постоянной. Почувствуй разницу

Никто не говорит об отсутствии ангуляции.  В спортивном повороте даже на уровне перворазрядника  угол закантовки 70 градусов является обычным. И этот угол  обеспечивается  на две трети наклоном и на одну треть анугляцией. Как не изгибайся,большой угол закантовки не получишь

Вместо того чтобы признать  очевидное противоречие начинаешь упорствовать

Вот поверь я не понимаю в чем противоречие и что надо признать. То что скорость требуется сохранить - это такое условие движения, которое я сам и ставлю. Ты сравниваешь скорость со ее абсолютным уменьшением. А я сравниваю скорость относительную, которая связана с возможностью конкретного спортсмена. Например, я уже приводил этот пример, спортсмен выполняет конкретный поворот на конкретном участке трассы. Он может выполнить поворот разными способами. При этом понятно, что скорость уменьшаться будет в любом случае, но уменьшением скорости в следствие правильных (оптимальных) действий я пренебрегаю, как величиной малой и незначительной в сравнении с не оптимальным движением, которое приведет к существенному торможению. Вникни плиз в то, что я сказал. 

При этом понятно, что в некоторых поворотах даже при правильных и оптимальных действиях скорость будет падать очень существенно. Но, я за отправную точку беру такое уменьшение скорости как константу скорости. Это в том числе для того, чтобы не городить огород с ускорениями и еще более запутывать других. 

Ну, предположи условно, что поворот выполняется достаточно легкий, в котором при оптимальных действиях практически скорость будет постоянна. 


  • 0

#75 Гойко Митич

Гойко Митич
    • 1
  • Лыжебордеры
  • 68974 сообщений
  • Город:Москва

Отправлено 11 April 2020 - 13:56

Спортивный поворот не является резаным. Резаная траектория возникает в спортивном повороте, лишь при переходе из загрузки в разгрузку.

И с чего это ты взял, что я говорю о резаном повороте? Мало того, именно резаный поворот не позволяет вестибулярному аппарату полноценно управлять положением динамического равновесия. Резаный поворот, уже по одной этой причине является самым ярким заблуждением в горнолыжной технике. 

Если мы рассматриваем не резанный поворот тогда вообще все прекрасно.  Тогда в повороте с проскальзыванием наклон тела является обычным способом уменьшения радиуса поворота. Ангуляция не нужна . Изучай физику. Наклонил тело, радиус поворота уменьшился. Условия  равновесия соблюдены


  • 0

#76 Гойко Митич

Гойко Митич
    • 1
  • Лыжебордеры
  • 68974 сообщений
  • Город:Москва

Отправлено 11 April 2020 - 14:00

Вот поверь я не понимаю в чем противоречие и что надо признать. То что скорость требуется сохранить - это такое условие движения, которое я сам и ставлю. Ты сравниваешь скорость со ее абсолютным уменьшением. А я сравниваю скорость относительную, которая связана с возможностью конкретного спортсмена. Например, я уже приводил этот пример, спортсмен выполняет конкретный поворот на конкретном участке трассы. Он может выполнить поворот разными способами. При этом понятно, что скорость уменьшаться будет в любом случае, но уменьшением скорости в следствие правильных действий я пренебрегаю, как величиной малой и незначительной в сравнении с не оптимальным движением, которое приведет к существенному торможению. Вникни плиз в то, что я сказал. 

Противоречие в том, что ангуляция не является единственным способом управления траекторией.

Захотел увеличить радиус поворота -уменьшил наклон тела , захотел уменьшить радиус поворота  -увеличил наклон. Какие проблемы?


  • 0

#77 rarebird

rarebird
    • 11
    • 7
  • Лыжебордеры
  • 1787 сообщений

Отправлено 11 April 2020 - 14:05

Я давно сформулировал: ангуляция не является единственным способом управления траекторией, как  ты заявил

Наклон тела с целью увеличения угла закантовки столь же важен

Еще раз. Наклон без ангудяции НЕВОЗМОЖЕН. Если ты считаешь, что это не так, то доказывай механикой. Не надо голословных рассуждений. 

Я бы на твоем месте признал бы, что я прав в этом споре, так как опровергнуть механику тебе нечем. А я доказал с точки зрения науки, что ангуляция - единственный инструмент. 

Понятно, что есть и другие способы, но все эти способы существенно увеличивают опорные реакции, следовательно приводят к торможению. 


  • 1

#78 rarebird

rarebird
    • 11
    • 7
  • Лыжебордеры
  • 1787 сообщений

Отправлено 11 April 2020 - 14:06

Противоречие в том, что ангуляция не является единственным способом управления траекторией.

Захотел увеличить радиус поворота -уменьшил наклон тела , захотел уменьшить радиус поворота  -увеличил наклон. Какие проблемы?

Не надо юлить!

Спортивная задача состоит в уменьшении радиуса. Увеличить радиус - дано любому начинающему.


  • 0

#79 Гойко Митич

Гойко Митич
    • 1
  • Лыжебордеры
  • 68974 сообщений
  • Город:Москва

Отправлено 11 April 2020 - 14:28

Еще раз. Наклон без ангудяции НЕВОЗМОЖЕН. Если ты считаешь, что это не так, то доказывай механикой. Не надо голословных рассуждений. 

Я бы на твоем месте признал бы, что я прав в этом споре, так как опровергнуть механику тебе нечем. А я доказал с точки зрения науки, что ангуляция - единственный инструмент. 

Понятно, что есть и другие способы, но все эти способы существенно увеличивают опорные реакции, следовательно приводят к торможению. 

Формула для условий равновесия лыжника в повороте уже является доказательством . V*V/r*g=tg@

Если скорость постоянная, то увеличив наклон , т.е увеличив угол закантовки мы  уменьшим радиус поворота в соответствии с условием равновесия


  • 0

#80 Гойко Митич

Гойко Митич
    • 1
  • Лыжебордеры
  • 68974 сообщений
  • Город:Москва

Отправлено 11 April 2020 - 14:30

Не надо юлить!

Спортивная задача состоит в уменьшении радиуса. Увеличить радиус - дано любому начинающему.

Уменьшить радиус тоже дано любому начинающему -достаточно увеличить  угол закантовки за счет наклона тела  и лыжи поедут по меньшему радиусу


  • 0




Количество пользователей, читающих эту тему: 1

0 пользователей, 1 гостей, 0 анонимных